产品中心
技术交流

扫描二维码
应用秘籍 | 渗透压是细胞冻存的关键指标
低温冻存通常使用独特的试剂和非常低的温度来保存活细胞和组织,保证其活力和结构完整。在生物工艺中有较多的应用,如细胞建库和细胞系的长期存储。该技术起源于19世纪后期,随着理论实践的发展,低温冻存操作指南不断优化迭代,获得了较大的发展和进步。其中渗透压是低温冻存操作中重要的工艺改进工具。
下面的海报将研究安达望 (Advanced Instruments) 的冰点降低渗透压仪在细胞冻存工作流程中的应用。
渗透压用于细胞冻存 和复融最佳条件的优化 细胞冻存/复融工作流程的每一个步骤都需要培养介质,均需进行渗透压测试。快速有效的渗透压分析工具可用于质量控制检查,确保配制溶液是正确的,并符合其添加之前的规范要求,减少潜在的错误,并降低冻存/复融循环对细胞的破坏。渗透压也可以作为新冻存试剂开发工艺中的关键质量属性,确保细胞健康并减少潜在的细胞损伤或死亡。

细胞冻存配方 样品 仪器型号 N 平均值 (mOsm) StDev Cryostor CS5 XT 180 1416.7 13.9 Cryostor CS10 XT 180 2749.7 26.6 PrimeXV FreezIS XT 180 2111.3 17.9
样品 % CoefVar 最小值 (mOsm) 最大值 (mOsm) Cryostor CS5 1.0 1393 1464 Cryostor CS10 1.0 2675 2818 PrimeXV FreezIS 0.9 2015 2163 细胞和基因治疗中常用细胞冻存试剂的渗透压。上表统计数据显示了冰点降低渗透压仪测试 (n=180) 不同冻存试剂的结果。尽管冻存剂的浓度很高,OsmoTECH XT渗透压测试显示出良好的重复性和可靠性。
冰点降低渗透压仪可用于 含抗冷冻成分的样品的测试吗? 答案是肯定的。安达望 (Advanced Instruments) 最近完成了一项内部研究,使用冰点降低渗透压仪OsmoTECH® XT成功测试了不同市售的细胞冻存试剂的渗透压。
细胞渗透压耐受极限研究 -文献证据
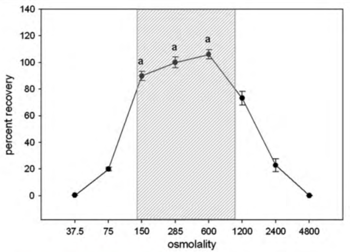
Fig.4通过C57BL/6鼠胚胎干细胞(ES细胞)的细胞质膜完整性来确定其渗透压耐受极限的平均值(±SEM)。室温下相同数量的ES细胞暴露在38,75,150,600,1200和4800 mOsm(每个条件下的n=6)的培养环境中10 min,以285 mOsm的培养环境作为参照,质膜完整性通过流式细胞术分析细胞对碘化丙啶的排除性进行评估。图片中的阴影区域代表了80%细胞具有完整质膜的渗透压范围。与等渗参照溶液标记相同的数据点没有显著差异(p<0.05)。
渗透压值被用来评估和筛选最佳的降温速率、升温速率和冷冻保护剂的类型。 以NaCl为渗透压调整试剂,暴露于不等渗溶液后,细胞种群保留80%的膜完整性的渗透耐受极限被建立。 139~1075 mOsm是80%小鼠ES细胞保留完整质膜的渗透压范围。1.0 M CPA条件下ES细胞透压耐受极限与标准冻存方案(细胞培养基中含有50%的胎牛血清)相当。
提高iPSC的复苏率 在诱导多能干细胞冻/融过程中,细胞外渗透压可能发生突变。这种快速变化会导致细胞渗透休克,进而降低复融后的细胞存活率。Clínica Alemana - Universidad del Desarrollo再生医学中心的科学家们使用下面的优化过程使细胞存活率增加了15%:
1 优化前工艺 将培养基倒入15mL的锥形管中,然后快速将冻存管中所有解冻的细胞加入培养基中
2 优化后的工艺 先将解冻的细胞放入15mL锥形管中,然后缓慢滴加培养基
3 优化前工艺 细胞所处环境的渗透压突然变化可能导致水快速透过细胞膜,这可能会对细胞造成压力,从而导致的细胞死亡。避免这种压力可以使细胞更好地生存
提高细胞复苏率:诱导多能干细胞的冻存和复苏优化。Markus Uhrig *, Fernando Ezquer and Marcelo Ezquer *欧洲诱导多能干细胞库 (EBiSC) 。

长按或扫描上方二维码关注我们 Advanced Instruments成立于1955年,总部位于美国马萨诸塞州诺伍德,60 多年来一直致力于帮助生物制药,临床及食品饮料行业客户提升测试结果的质量,实现可信赖的实验结果,并不断提高企业的生产效率。 安达望(上海)科技有限公司是Advanced Instruments在中国依法成立的全资子公司。